The Role of the Biota in the Carpenter Model on Lake Eutrophication
- Started
- 8th October 2012
- Ended
- 13th May 2013
- Research Team
- Alexandra Diem
- Investigators
- James Dyke

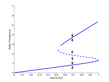
Hysteresis loop induced by phosphorus (P) input to the watershed via agriculture. The two stable fixed points (solid) are oligotrophy and eutrohpy. If the P input to the soil reaches a certain level the lake tips over into eutrophy, a process that takes h
Lakes are an important part of the world's ecosystem. They provide a habitat and food source for a diverse range of animal species and valuable ecosystem services for humans. Many lakes have undergone or are currently undergoing the process of eutrophication, in which the input of nutrients via agriculture leads to algal blooms and ultimately death of fish and other species. Reversing this process is extremely difficult and takes time in the scale of hundreds to thousands of years, which can be shown using a the Carpenter eutrophication model, which focusses on the dynamics of phosphorus. This model. However, the model only implicitly represents the very important role of the algae as part of the lake's flora.
The aim of this research project was to mathematically analyse the model and to extend it to explicitly model the role of the biota in the eutrophication process. Important data, which was deemed necessary to carry out this step was missing and thus, the project resulted in guidelines for how to possibly extend the model if the required data is available.
Categories
Life sciences simulation: Ecology
Physical Systems and Engineering simulation: Sediment transport
Socio-technological System simulation: Human environment interaction
Software Engineering Tools: Emacs, Git
Programming languages and libraries: Matlab
Transdisciplinary tags: Complex Systems